Los Micrófonos se pueden clasificar de acuerdo con la forma de transducción, en otras palabras, dependiendo de la forma como se transforma la señal acústica en eléctrica.
Tipos de microfonos:
1 Micrófonos de carbón
2 Micrófonos piezoeléctricos
3 Micrófonos dinámicos (de bobina móvil)
4 Micrófono de cinta
5 Micrófono capacitivo (de condensador)
6 Micrófono eléctret
Comencemos a analizar cada uno de los tipos.
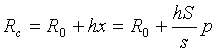
Fueron los micrófonos utilizados durante mucho tiempo para comunicación telefónica y de radio, donde es más importante una alta salida eléctrica, bajo costo y durabilidad que la fidelidad. Su operación resulta de la varación en resistencia de una pequeña cápsula llena de granos de carbón, el capullo de carbón. Conforme se desplaza el diafragma, el émbolo varía la fuerza aplicada a los granos de carbón y por consiguiente la resistencia de grano a grano, de tal manera que la resistencia total a través del capullo de carbón (que por lo general es de unos 100 ohmios), varía de manera aproximadamente lineal con la presión aplicada al diafragma, según la siguiente ecuación:

Rc = resistencia del capullo de carbón; x = desplazamiento del centro del diafragma; R0 = resistencia del capullo con desplazamiento 0; h = constante de resistencia en ohmios por metro de desplazamiento del émbolo; s = rigidez del diafragma; S = área efectiva.


De la curva del micrófono de carbón se deducen sus pobres características frecuenciales que han hecho posible su casi desaparición del mercado (excepto en teléfonos económicos).
Los micrófonos piezoeléctricos emplean cristales o cerámicas, que cuando se distorsionan por la acción de ondas incidentes, se polarizan eléctricamente y producen voltajes relacionados linealmente con las deformaciones mecánicas. Puesto que el efecto piezoeléctrico es reversible, todos los micrófonos piezoeléctricos funcionarán como fuentes de sonido al aplicarse un voltaje alterno a sus terminales. Son transductores recíprocos.

Se han usado ampliamente monocristales de sal de Roxhelle en la fabricación de este tipo de micrófonos. Desafortunadamente, tales cristales se deterioran en la presencia de humedad y se dañan permanentemente si se someten a temperaturas por encima de 46º C. Otras opciones son cristales cortados de fosfato de dihidrógeno y amonio (ADP), o bien materiales cerámicos.

Aunque la respuesta de los micrófonos piezoeléctricos es mejor que la del micrófono de carbón, no llega a ser suficientemente buena para grabaciones profesionales, por lo que se utiliza sólo en micrófonos pequeños para voz.
3 Micrófonos Dinámicos (Bobina móvil).
El micrófono dinámico es posiblemente el más ampliamente usado para grabación de sonido, difusión y sistemas de dirección pública. Es muy robusto y puede ser diseñado para propocionar altas prestaciones. A diferencia del micrófono capacitivo, que veremos después, no requiere una fuente de alimentación y su impedancia de salida es baja, de modo que no necesita etapas buffer para su acoplamiento a un cable.

Se basa en el principio de inducción electromagnéica (son la versión dual de los altavoces de bobina móvil) según el cual si un hilo conductor se mueve dentro de una campo magnético, en el conductor se inducirá un voltaje de acuerdo con:
e = Blv
e = potencial inducido; B = densidad de flujo magnético; l = longitud del conductor; v = velocidad del movimiento.
Son micrófonos muy utilizados por su resistencia, confiabilidad y buena respuesta en frecuencia.

Este tipo de micrófono también trabaja bajo el principio de inducción magnética y responde a la diferencia de presión sonora entre los dos lados de la cinta y por eso recibe también el nombre de micrófono de gradiente de presión o de velocidad o bidireccional.

Una fina cinta de metal que actúa de diafragma se suspende en una ranura entre dos piezas de polo magnético que se unen a un imán en forma de U. La cinta es típicamente de 1 pulgada de longitud, 1/16 pulgadas de ancho y 0.0001 pulgadas de grueso. Un campo magnético fluye a través de la ranura entre las piezas de polo magnético, en dirección paralela a la anchura de la cinta. Cuando una onda acústica incide en la cinta, ésta vibra en dirección perpendicular al campo magnético. Esto genera una fuerza en los electrones libres de la cinta, que se mueven en dirección longitudinal a la cinta. Esto causa un voltaje ac entre los extremos de la cinta. Este voltaje es la salida eléctrica del transductor.
El micrófono de cinta difiere del micrófono capacitivo y del dinámico en que no hay una cápsula que aísle la parte de atrás del diafragma de su parte delantera. Por tanto la presión de la onda acústica incidente actúa en ambos lados de la cinta. Esto hace que la fuerza neta en la cinta sea proporcional al gradiente (derivada direccional) de la presión. De ahí ese nombre que también se le da de micrófono de gradiente de presión. Y ya que la velocidad de una partícula en una onda es proporcional al gradiente de presión, también se le llama micrófono de velocidad.
Debido a que responde a la diferencia de presión, este micrófono tiene una respuesta polar con un máximo en el eje perpendicular a la lámina, mientras que no responde a los sonidos laterales.


Recordemos que un Condensador almacena carga cuando se le suministra un potencial eléctrico. La ecuación que describe el fenómeno es:
Q = CV
Q = carga en culombios; C = capacidad en faradios; V = potencial en voltios.

En un micrófono capacitivo la placa posterior está fija, mientras que la otra (el diafragma) se desplaza al recibir variaciones de presión, ya que el interior del micrófono está a un presión constante igual a la presión atmosférica. La variación de la capacitancia, al cambiar la distancia entre las placas, producirá una variación de voltaje:

Y como siempre, esta variación de voltaje corresponde a la salida eléctrica del transductor.
El micrófono capacitivo convencional usa una fuente de alimentación externa que proporciona el voltaje dc al elemento transductor. Existe otro tipo de micrófonos capacitivos más económicos que usan como diafragma un material de polarización permanente que no requiere polarización externa. Son los micrófonos eléctret, que se tratan brevemente en el siguiente apartado.
El micrófono capacitivo tiene una alta impedancia de salida, por lo que es necesario usar una etapa buffer como interfaz con el cable de salida y la carga. Esta etapa buffer es normalmente parte del propio micrófono. En micrófonos diseñados para grabación, la potencia del buffer se suministra mediante voltaje dc en modo común en el cable balanceado que conecta al micrófono con el preamplificador remoto. A esto se le llama "alimentación fantasma" (del inglés phantom powering). La señal de audio en el cable es una señal diferencial.
El micrófono capacitivo produce la mejor respuesta en frecuencia, por lo cual es el más utilizado en grabaciones profesionales, donde la fidelidad es un factor preponderante. Debido a que responde a variaciones de presión entra dentro del subgrupo de los micrófonos de presión, y como consecuencia de ello tiene una respuesta onmidireccional.
Un material Electret tiene como característica su capacidad de mantener carga sin necesidad de una fuente de polarización, por lo cual tiene cada vez mayor popularidad por razones de economía.
