3.7.1 Filtros de Paso Alto
La segmentación basada en detección de bordes es muy utilizada, este tipo de filtros agrupa a un gran número de técnicas que usan la información proporcionada por las fronteras de los objetos que aparecen en una imagen. Estos bordes marcan la localización de los puntos de la imagen donde se producen discontinuidades en los niveles de gris. Si se desea encontrar los objetos individuales presentes en una imagen, parece lógico que, si se encuentran las fronteras de tales objetos con el fondo se podrían segmentar los objetos de la escena general.
En concreto el filtro de Sobel se trata de un filtro de aproximación al gradiente. El cálculo de la derivada direccional de una función nos habla de cómo se producen los cambios en tal dirección. Tales cambios, que se asocian con las altas frecuencias, suelen corresponder a los bordes de los objetos presentes en las imágenes.
Partiendo de que el operador gradiente se define como:
Se definen los filtrados de convolución Gx, y Gy:

Obteniendo h1 y h2 mediante una aproximación a la derivada con la resta. Es decir, si se consideran los píxeles de la siguiente figura:

las derivadas serían:

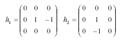
Obteniendo las matrices de convolución h1 y h2 :

En el caso de que no se quiera considerar la dirección del vector gradiente, sino sólo su módulo:
![]()
Una mejor aproximación al gradiente viene dada por:

dando lugar a las matrices h1 y h2 :
Estas matrices se conocen como máscaras de Sobel. Mediante ellas se calcula el gradiente en las direcciones horizontal y vertical respectivamente.
En la figura 12 se puede ver un ejemplo de aplicación del filtro de Sobel en una imagen en 4 formas distintas: original, umbralizado (todos aquellos tonos de grises por debajo de un umbral se convierten en cero), binarizado (los valores por debajo de un umbral son cero y los superiores son uno) y umbralizado ecualizado (los valores por debajo de un umbral son cero y los que están por encima se distribuyen a lo largo de un intervalo).

(a) (b)

(c) (d)
Fig. 12: a) Imagen de Lenna con el filtro de Sobel aplicado; b) Imagen de Lenna con el filtro de Sobel aplicado con un factor de umbralización de 127; c) Imagen de Lenna con el filtro de Sobel aplicado con un factor de binarización de 127; d) Imagen de Lenna con el filtro de Sobel aplicado con un factor de umbralización de 127 y ecualizado.